1. 收敛与一致收敛
[收敛与收敛区域] 设un(x)(n=
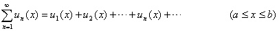
)都是定义在某区间[a,b]上的函数,则称![]()
为定义在[a,b]上的函数项级数.若对区间[a,b]上的每点的部分和
Sn(x)=
当n→∞时,都有极限S(x),即
Sn(x)=
![]()
=S(x)
则称函数项级数
在区间[a,b]上是收敛的,函数S(x)是它的和,区间[a,b]是收敛区域.函数
rn(x)=![]()
称为余项.显然在收敛区域上的每点x,都有
rn(x)=0
也就是说,对任意给定的ε>0与收敛区域[a,b]上的每点x,都存在一个自然数N(ε,x)(N的大小不但与给定的正数ε有关,而且与x的数值有关),使得当n≥N时,都有
|rn(x)|<ε或|
|<ε
[一致收敛] 设函数项级数
![]()
对区间[a,b]上每点都收敛,它的和是S(x).
若对给定的ε
0,都存在一个只与ε有关而与x的数值无关的自然数N(ε),使得当n≥N时,不等式
|rn(x)|<ε或|
|<ε
对于[a,b]上的一切x都成立,则称函数项级数
在区间[a,b]上一致收敛,即部分和Sn(x)一致收敛于级数的和S(x).
由一致收敛的定义可知函数项级数在某区间[a,b]上一致收敛比在[a,b]上点点收敛的要求高.在某区间[a,b]上一致收敛的一个函数项级数在[a,b]上一定点点收敛,但在区间[a,b]上点点收敛的函数项级数在[a,b]上不一定一致收敛.