2.等差数列与等差(算术)级数
a1, a1+d, a1+2d, a1+3d, L (d为常数)
称为公差为d的等差数列.与等差数列相应的级数称为等差级数,又称算术级数.
通项公式
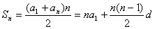
前n项和
等差中项