n维空间中凸体体积公式

n维空间的点的坐标为().所谓n维空间中的凸体,是指中任意两点AB的连线仍在中,即设A=B=,A,B,则点.其中

, i=1,2,,n

下面列出几种凸体体积的计算公式.

[单纯形] 已知n维空间中的n+1个点,包含这n+1个点的最小凸体称为由张成的单纯形,记作,若设n个坐标为

() i=1,2,,n+1

则单纯形的体积

n=2时为三角形,n=3时为四面体.

[超立方体]

: | |, i=1,2,,n

V=

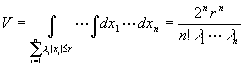
[广义八面体]

1°1:r, >0, i=1,2,,n

2°2:r, >0, >0i=1,2,,n-1

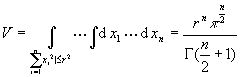
[n维球体]

:

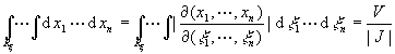
[凸体的线形变换] 设有线性变换

= , i=1,2,,n

J=det(dij)0

将凸体R映成,则的体积为

这里为该线性变换的雅可比式.